Howard Vie
Perspective View of a Circle

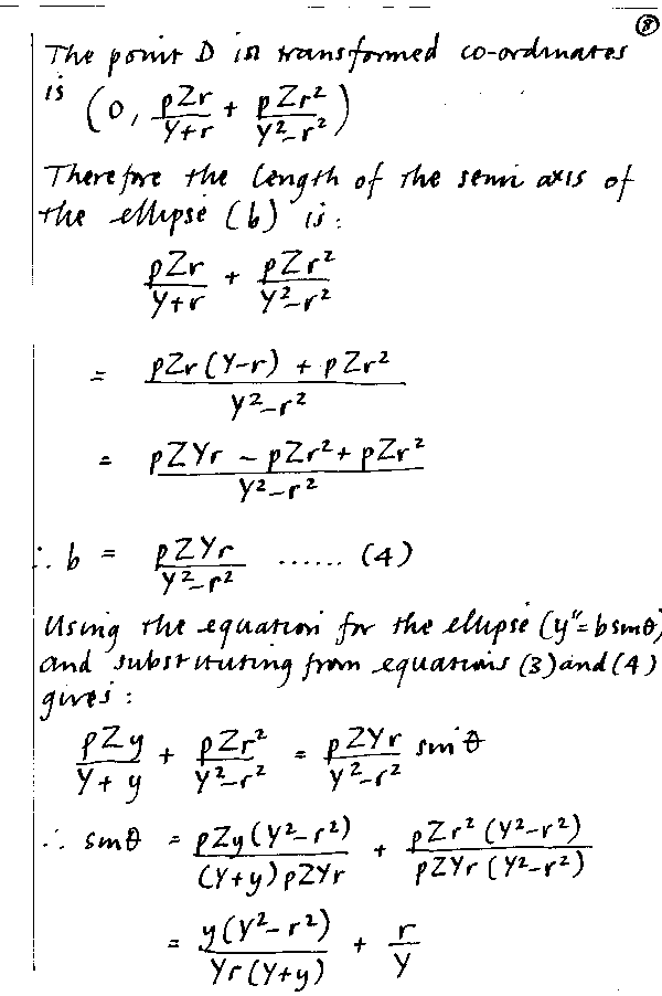
Page 8 - Strictly, references to the ellipse on this page are misleading, as these equations can still represent any curve, see previous page.

Proof - Page 8

Updated September 2005
mail @ hvie.co.uk