Howard Vie
Perspective View of a Circle

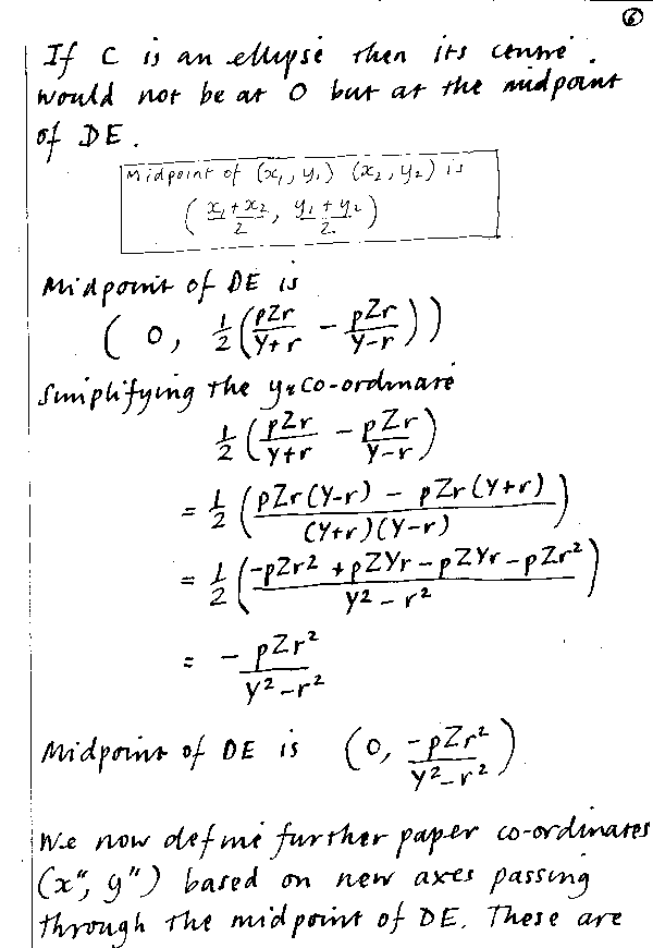
Page 6 - Noting that the perspective view of the centre of the circle does not correspond with the vertical midpoint of the curve C, first find the co-ordinates of this midpoint. Having done this define another set of paper co-ordinates based on this midpoint.

Proof - Page 6

Updated September 2005
mail @ hvie.co.uk